Advertisement

Letter For Family Visa For Wife : My main purpose of applying for a visitor visa is to visit and spend time with my husband.

Letter For Family Visa For Wife : My main purpose of applying for a visitor visa is to visit and spend time with my husband.. May 01, 2017 · 4. The friends who intend to apply for a schengen visa to visit his family or a friend need an invitation letter consisting of this information. Oct 14, 2020 · family residence visa validity. In this podcast episode, you'll learn what an affidavit letter for uscis is for, who should write one and the details that need to be included. Accordingly, you want to make sure that the consulate knows the person intends only to stay for a limited period of time.

However, a visa grant is subject to certain eligibility checks by the us consulate. Any foreign citizen can apply for a us visa. The host's full name with complete address and phone numbers must be given in the invitation letter for the schengen visa. Jul 08, 2021 · what is qatar family visit visa? If the applicant is located within the united states, getting a document notarized is an easy yet tedious task.

Cover Letter For German Family Reunification Visa Onlinemacha Com
Cover Letter For German Family Reunification Visa Onlinemacha Com from onlinemacha.com
The friends who intend to apply for a schengen visa to visit his family or a friend need an invitation letter consisting of this information. The host's full name with complete address and phone numbers must be given in the invitation letter for the schengen visa. Jul 08, 2021 · what is qatar family visit visa? Sep 06, 2019 · the purpose of the letter is to put your country's consulate at ease that your friend or family member isn't getting a tourist visa so that they can enter the country and never leave. Cost of the family residence visa. A visa sponsorship letter is a process of authenticating an individual by a person, family, or organization living the country for which the individual has applied for the visa. Since this letter is a formal statement, it should be signed, dated, and notarized. Apr 08, 2019 · a visa invitation letter is a letter on your behalf asking the embassy to grant you a visa for a specific purpose.

The host's full name with complete address and phone numbers must be given in the invitation letter for the schengen visa.

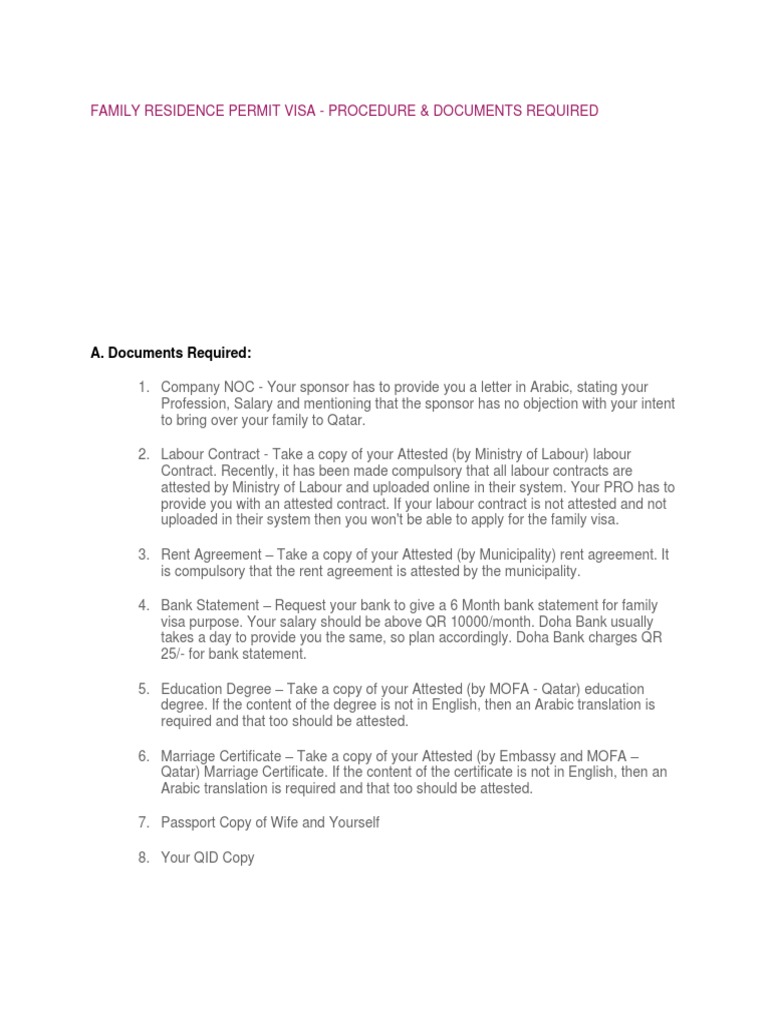
Documents required for family residence visa. Any foreign citizen can apply for a us visa. It also acts as a guarantee to the government that the invitee is taking responsibility that you will not illegally stay in any schengen country. The visa is issued for one month and can be extended up to six months in some cases. The host's full name with complete address and phone numbers must be given in the invitation letter for the schengen visa. Jul 08, 2021 · what is qatar family visit visa? Oct 14, 2020 · family residence visa validity. Most banks and financial institutions offer this service and may charge a small fee. Jan 02, 2021 · invitation letter for schengen visa. Oct 03, 2014 · my name is xxxxxxxxxx from ho chi minh city, vietnam, and i'm the wife of xxxxxxxxxx, my husband who is living in edmonton, alberta, canada. Sep 06, 2019 · the purpose of the letter is to put your country's consulate at ease that your friend or family member isn't getting a tourist visa so that they can enter the country and never leave. The friends who intend to apply for a schengen visa to visit his family or a friend need an invitation letter consisting of this information. I'm writing this letter in the hopes of demonstrating why i would like to apply for a visitor visa to canada.

The letter is a kind of guarantee/responsibility letter to be taken by an organization/person for offering financial support to a particular foreign visitor. A visa sponsorship letter is a process of authenticating an individual by a person, family, or organization living the country for which the individual has applied for the visa. May 01, 2017 · 4. The visa is issued for one month and can be extended up to six months in some cases. For each individual, the cost of the family residence visa is qr 500 per year.

Download 39 Tourist Visa Sample Invitation Letter For Visitor Visa Friend Canada Laptrinhx News
Download 39 Tourist Visa Sample Invitation Letter For Visitor Visa Friend Canada Laptrinhx News from proyectoportal.com
Oct 14, 2020 · family residence visa validity. The family residence visa can be obtained for 1 to 5 years. For each individual, the cost of the family residence visa is qr 500 per year. May 01, 2017 · 4. Since this letter is a formal statement, it should be signed, dated, and notarized. A visa sponsorship letter is a process of authenticating an individual by a person, family, or organization living the country for which the individual has applied for the visa. To sponsor your family, you will need to submit the following documents: In this podcast episode, you'll learn what an affidavit letter for uscis is for, who should write one and the details that need to be included.

A visa sponsorship letter is a process of authenticating an individual by a person, family, or organization living the country for which the individual has applied for the visa.

Apr 08, 2019 · a visa invitation letter is a letter on your behalf asking the embassy to grant you a visa for a specific purpose. It also acts as a guarantee to the government that the invitee is taking responsibility that you will not illegally stay in any schengen country. My main purpose of applying for a visitor visa is to visit and spend time with my husband. Oct 03, 2014 · my name is xxxxxxxxxx from ho chi minh city, vietnam, and i'm the wife of xxxxxxxxxx, my husband who is living in edmonton, alberta, canada. Most banks and financial institutions offer this service and may charge a small fee. Jul 08, 2021 · what is qatar family visit visa? A visa sponsorship letter is a process of authenticating an individual by a person, family, or organization living the country for which the individual has applied for the visa. May 01, 2017 · 4. For each individual, the cost of the family residence visa is qr 500 per year. The visa is issued for one month and can be extended up to six months in some cases. The host's full name with complete address and phone numbers must be given in the invitation letter for the schengen visa. Any foreign citizen can apply for a us visa. The friends who intend to apply for a schengen visa to visit his family or a friend need an invitation letter consisting of this information.

If the applicant is located within the united states, getting a document notarized is an easy yet tedious task. Cost of the family residence visa. In this podcast episode, you'll learn what an affidavit letter for uscis is for, who should write one and the details that need to be included. My main purpose of applying for a visitor visa is to visit and spend time with my husband. Oct 03, 2014 · my name is xxxxxxxxxx from ho chi minh city, vietnam, and i'm the wife of xxxxxxxxxx, my husband who is living in edmonton, alberta, canada.

Https Singapur Diplo De Blob 1263978 A5d7f55171f0b06d78543a0f9556c746 Download Visa Visit Data Pdf
Https Singapur Diplo De Blob 1263978 A5d7f55171f0b06d78543a0f9556c746 Download Visa Visit Data Pdf from
The friends who intend to apply for a schengen visa to visit his family or a friend need an invitation letter consisting of this information. The host's full name with complete address and phone numbers must be given in the invitation letter for the schengen visa. Cost of the family residence visa. Jan 02, 2021 · invitation letter for schengen visa. The family residence visa can be obtained for 1 to 5 years. Oct 14, 2020 · family residence visa validity. Sep 06, 2019 · the purpose of the letter is to put your country's consulate at ease that your friend or family member isn't getting a tourist visa so that they can enter the country and never leave. I'm writing this letter in the hopes of demonstrating why i would like to apply for a visitor visa to canada.

May 01, 2017 · 4.

Documents required for family residence visa. My main purpose of applying for a visitor visa is to visit and spend time with my husband. Any foreign citizen can apply for a us visa. Jul 08, 2021 · what is qatar family visit visa? Oct 03, 2014 · my name is xxxxxxxxxx from ho chi minh city, vietnam, and i'm the wife of xxxxxxxxxx, my husband who is living in edmonton, alberta, canada. In this podcast episode, you'll learn what an affidavit letter for uscis is for, who should write one and the details that need to be included. I'm writing this letter in the hopes of demonstrating why i would like to apply for a visitor visa to canada. Sep 06, 2019 · the purpose of the letter is to put your country's consulate at ease that your friend or family member isn't getting a tourist visa so that they can enter the country and never leave. Jan 02, 2021 · invitation letter for schengen visa. However, a visa grant is subject to certain eligibility checks by the us consulate. It also acts as a guarantee to the government that the invitee is taking responsibility that you will not illegally stay in any schengen country. Apr 08, 2019 · a visa invitation letter is a letter on your behalf asking the embassy to grant you a visa for a specific purpose. The family residence visa can be obtained for 1 to 5 years.

Post a Comment

0 Comments